所在位置: 首页 > 产品中心

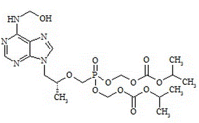
QT140623

替诺福韦杂质W

分子式: C13H23N5O8P2
分子量:439.3
CAS号:1878175-76-8

QT1406230

替诺福韦杂质 230

分子式: C11H18N5O4P
分子量:315.27
CAS号: NA

QT1406232

替诺福韦杂质232

分子式: C24H30N10O7P2
分子量:632.51
CAS号:NA

QT140624

富马酸替诺福韦酯 IP 杂质 L 富马酸盐

分子式: C22H33N6O13P
分子量:620.5
CAS号:NA

QT140626

替诺福韦酯杂质 Z

分子式: C15H24N5O8P
分子量:433.36
CAS号:1244022-55-6

QT140628

富马酸替诺福韦酯 IP 杂质 E;单-POC 6-异丙基氨基甲酸酯替诺福韦

分子式: C18H28N5O9P
分子量:489.43
CAS号:1244022-56-7

QT140629

替诺福韦酯杂质 3;6N-羟甲基替诺福韦酯

分子式: C20H32N5O11P
分子量:549.48
CAS号:1244022-53-4

QT140630

替诺福韦酯杂质 4;替诺福韦单甲酯

分子式: C10H16N5O4P
分子量:301.24
CAS号:1796539-83-7

QT140632

富马酸替诺福韦酯 IP 杂质 F;替诺福韦单磷酸二聚体

分子式: C29H44N10O14P2
分子量:818.67
CAS号:1962114-92-6

QT140635

替诺福韦酯杂质 9

分子式: C19H30N5O10P C4H404
分子量:635.51
CAS号:[NA]

QT140636

富马酸替诺福韦酯 IP 杂质 H;USP 替诺福韦酯相关化合物 K

分子式: C19H30N5O10P
分子量:519.44
CAS号:1217542-13-6

QT140637

富马酸替诺福韦酯

分子式: C19H30N5O10P.C4H4O4
分子量:519.44 116.07
CAS号:202138-50-9

QT140638

替诺福韦酯USP 相关化合物 G;单-POC 异丙基替诺福韦

分子式: C17H28N5O7P
分子量:445.41
CAS号:1246812-40-7;1422284-15-8(fumaric acid)

QT140639

乙基替诺福韦杂质

分子式: C11H18N5O4P
分子量:315.27
CAS号:1796545-19-1

QT140640

替诺福韦酯杂质14

分子式: C13H22N5O4P
分子量:343.32
CAS号:[NA]

QT140641

替诺福韦酯杂质15

分子式: C15H26N5O4P
分子量:371.37
CAS号:[NA]

QT140642

替诺福韦酯杂质 Y;USP 替诺福韦酯相关化合物 J

分子式: C20H33N6O9P
分子量:532.48
CAS号:1246812-23-6

QT140643

替诺福韦杂质 16

分子式: C18H23N6O5P
分子量:434.39
CAS号:NA

QT140644

替诺福韦酯杂质 18

分子式: C11H18N5O4P
分子量:315.27
CAS号:1878175-74-6

QT140645

替诺福韦杂质 19

分子式: C21H29N6O5P
分子量:476.47
CAS号:2053424-82-9;2055343-42-3(fumarate)

QT140646

替诺福韦杂质 20

分子式: C9H14N5O4P
分子量:287.21
CAS号:147127-19-3

QT140647

替诺福韦杂质 21

分子式: C6H13NO2
分子量:131.17
CAS号:NA

QT140648

替诺福韦酯杂质 22

分子式: C21H29N6O5P
分子量:476.47
CAS号:NA

QT140649

替诺福韦酯杂质 23

分子式: C9H14N5O4P
分子量:287.21
CAS号:2361988-22-7

QT140650

替诺福韦酯杂质 24

分子式: C8H10BrN5
分子量:256.1
CAS号:[NA]

QT140651

替诺福韦艾拉酚胺半富马酸盐[USAN]

分子式: C46H62N12O14P2
分子量:1069
CAS号:1392275-56-7;379270-37-8(free base)

QT140652

替诺福韦杂质 25

分子式: C15H18N5O4P
分子量:363.31
CAS号:2488598-61-2

QT140653

替诺福韦杂质 26

分子式: C15H18N5O4P
分子量:363.31
CAS号:379270-35-6

QT140654

替诺福韦杂质 27

分子式: C12H20N5O4P
分子量:329.29
CAS号:NA

QT140655

替诺福韦酯杂质 29

分子式: C18H24N5O4P
分子量:405.39
CAS号:NA

0.110124s